国产视频
教师登录
中文
English
国产视频
国产视频概况
国产视频简介
管理团队
组织结构
联系方式
师资力量
学术委员会
教学指导委员会
教授
副教授
青年教师
兼职高层次人才
师资一览表
新闻资讯
国产视频动态
学术公告
国产视频公告
MBA教育
国际教育
特色项目
EDP中心
新闻资讯
国产视频动态
学术公告
国产视频公告
MBA教育
国际教育
特色项目
EDP中心
MBA教育
当前位置:
国产视频
>
新闻资讯
>
MBA教育
> Content
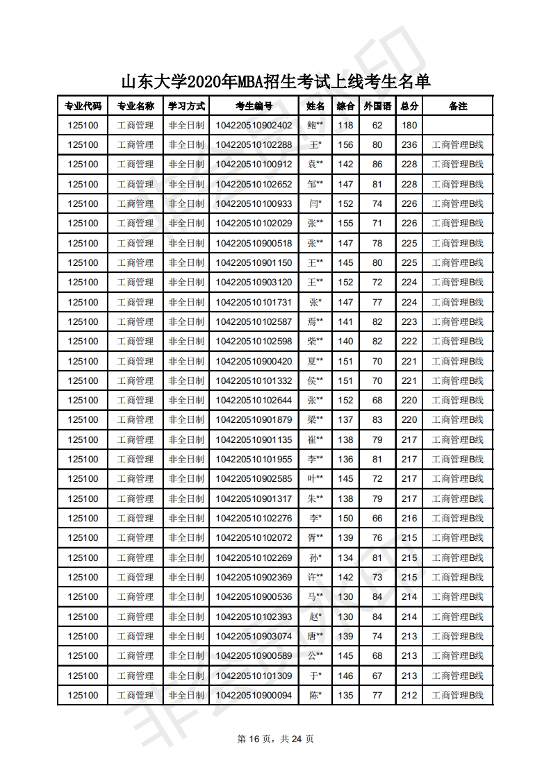
国产视频 2020年MBA招生考试上线名单
编辑:于范
发布时间:2020-04-17
附件【
国产视频 2020年MBA招生考试上线考生名单.pdf
】已下载
次
友情链接
山大国产视频
剑桥大学
山大(青岛)
教育部
国家留学基金委
国产视频 国际事务部
市北政务网
剑桥大学剑桥企业中心
版权所有 ©国产视频 - 国产视频无码在线影院 地址:山东省青岛市即墨区滨海路72号 邮编:266237 办公电话:0532-58631828 0532-58631815